Gram-Schmidt Process
Gram-Schmidt process
Gram-Schmidt process (or Gram-Schmidt algorithm) is a method for orthonormalizing a set of vectors in an inner product space, most commonly the Euclidean space $\mathbb{R}^n$ equipped with the standard inner product1. The Gram-Schmidt process takes a finite, linearly independent set of vectors \(S=\{\boldsymbol{v}_1,\cdots,\boldsymbol{v}_k\}\) for $k\le n$ (NOTE WELL HERE) and generates an orthogonal set \(S'=\{\boldsymbol{u}_1,\cdots,\boldsymbol{u}_k\}\) (and hence orthonormal set \(\{\boldsymbol{e}_1,\cdots,\boldsymbol{e}_k\}\)) that spans the same $k$-dimensional subspace of $\mathbb{R}^n$ as $S$. The whole Gram-Schmidt process shows as follows.
At first, the vector projection2 of a vector $\boldsymbol{v}$ on a nonzero vector $\boldsymbol{u}$ is defined as:
\[\mathrm{proj}_\boldsymbol{u}(\boldsymbol{v})=\dfrac{\langle\boldsymbol{v},\boldsymbol{u}\rangle}{\langle\boldsymbol{u},\boldsymbol{u}\rangle}\boldsymbol{u}\label{eq1}\]where $\langle\boldsymbol{v},\boldsymbol{u}\rangle$ is the inner product of $\boldsymbol{u}$ and $\boldsymbol{v}$. Definition $\eqref{eq1}$ means that \(\mathrm{proj}_\boldsymbol{u}(\boldsymbol{v})\) is the orthogonal projection of $\boldsymbol{v}$ onto the line spanned by $\boldsymbol{u}$. If $\boldsymbol{u}$ is the zero vector, then \(\mathrm{proj}_\boldsymbol{u}(\boldsymbol{v})\) is defined as the zero vector.
Given $k$ vectors $\boldsymbol{v}_1,\cdots,\boldsymbol{v}_k$, the Gram-Schmidt process defines the vectors $\boldsymbol{u}_1,\cdots,\boldsymbol{u}_k$ as follows:
\[\begin{split} &\boldsymbol{u}_1=\boldsymbol{v}_1\\ &\boldsymbol{u}_2=\boldsymbol{v}_2-\mathrm{proj}_{\boldsymbol{u}_1}(\boldsymbol{\boldsymbol{v}_2})\\ &\boldsymbol{u}_3=\boldsymbol{v}_3-\mathrm{proj}_{\boldsymbol{u}_1}(\boldsymbol{\boldsymbol{v}_3})-\mathrm{proj}_{\boldsymbol{u}_2}(\boldsymbol{\boldsymbol{v}_3})\\ &\boldsymbol{u}_4=\boldsymbol{v}_4-\mathrm{proj}_{\boldsymbol{u}_1}(\boldsymbol{\boldsymbol{v}_4})-\mathrm{proj}_{\boldsymbol{u}_2}(\boldsymbol{\boldsymbol{v}_4})-\mathrm{proj}_{\boldsymbol{u}_3}(\boldsymbol{\boldsymbol{v}_4})\\ &\qquad\vdots\\ &\boldsymbol{u}_k=\boldsymbol{v}_k-\sum_{i=1}^{k-1}\mathrm{proj}_{\boldsymbol{u}_i}(\boldsymbol{\boldsymbol{v}_k})\\ \end{split}\]and
\[\begin{split} &\boldsymbol{e}_1=\dfrac{\boldsymbol{u}_1}{\vert\vert\boldsymbol{u}_1\vert\vert}\\ &\boldsymbol{e}_2=\dfrac{\boldsymbol{u}_2}{\vert\vert\boldsymbol{u}_2\vert\vert}\\ &\boldsymbol{e}_3=\dfrac{\boldsymbol{u}_3}{\vert\vert\boldsymbol{u}_3\vert\vert}\\ &\boldsymbol{e}_4=\dfrac{\boldsymbol{u}_4}{\vert\vert\boldsymbol{u}_4\vert\vert}\\ &\quad\vdots\\ &\boldsymbol{e}_k=\dfrac{\boldsymbol{u}_k}{\vert\vert\boldsymbol{u}_k\vert\vert}\\ \end{split}\]The vector sequence \(\boldsymbol{u}_1,\cdots,\boldsymbol{u}_k\) is the required system of orthogonal vectors, and is known as Gram-Schmidt orthogonalization. The normalised vector \(\boldsymbol{e}_1,\cdots,\boldsymbol{e}_k\) is from an orthonormal set, and known as Gram-Schmidt orthonormalization.
Generally, I feel that Gram-Schmidt process is a process of finding vector rejection2.
MATLAB algorithm implementation
Wikipedia also provides a MATLAB function gramschmidt [1: Algorithm] to conduct Gram–Schmidt algorithm:
1
2
3
4
5
6
7
8
9
10
11
12
function U = gramschmidt(V)
[n,k] = size(V);
U = zeros(n,k);
U(:,1) = V(:,1)/norm(V(:,1));
for i = 2:k
U(:,i) = V(:,i);
for j = 1:i-1
U(:,i) = U(:,i)-(U(:,j)'*U(:,i))*U(:,j);
end
U(:,i) = U(:,i)/norm(U(:,i));
end
end
It view as each column of input variable V as $\boldsymbol{v}_i$, and each column of output variable U corresponds to orthonormalized $\boldsymbol{e}_i$. In the following text, I would use this function to analyse Gram-Schmidt process.
Case $n=k$
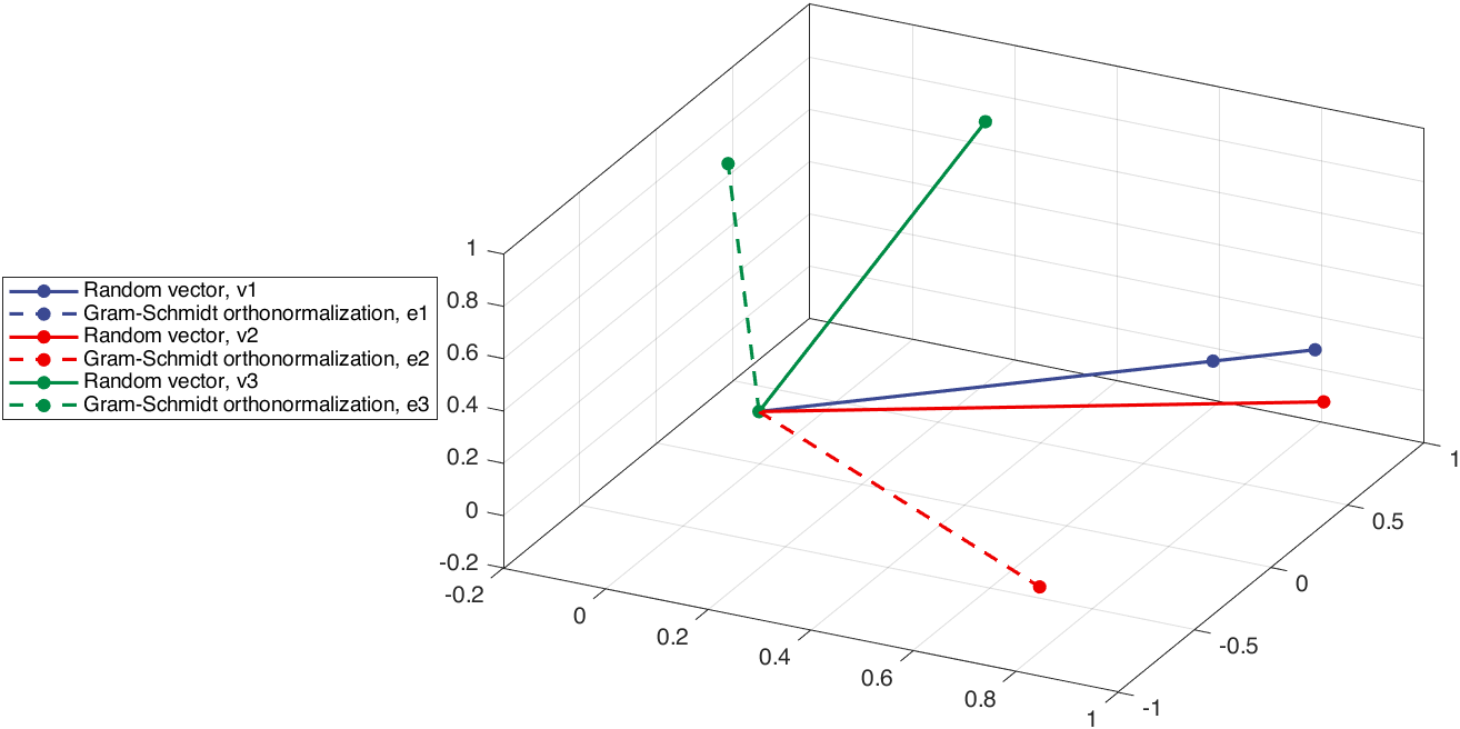
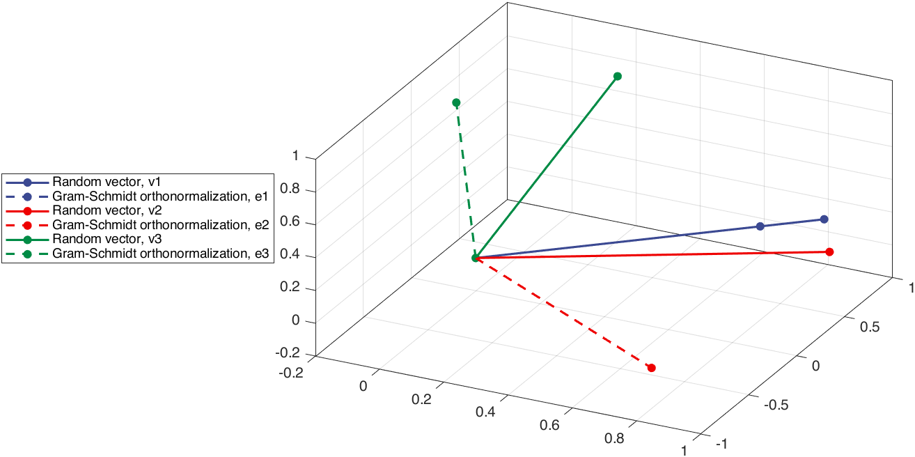
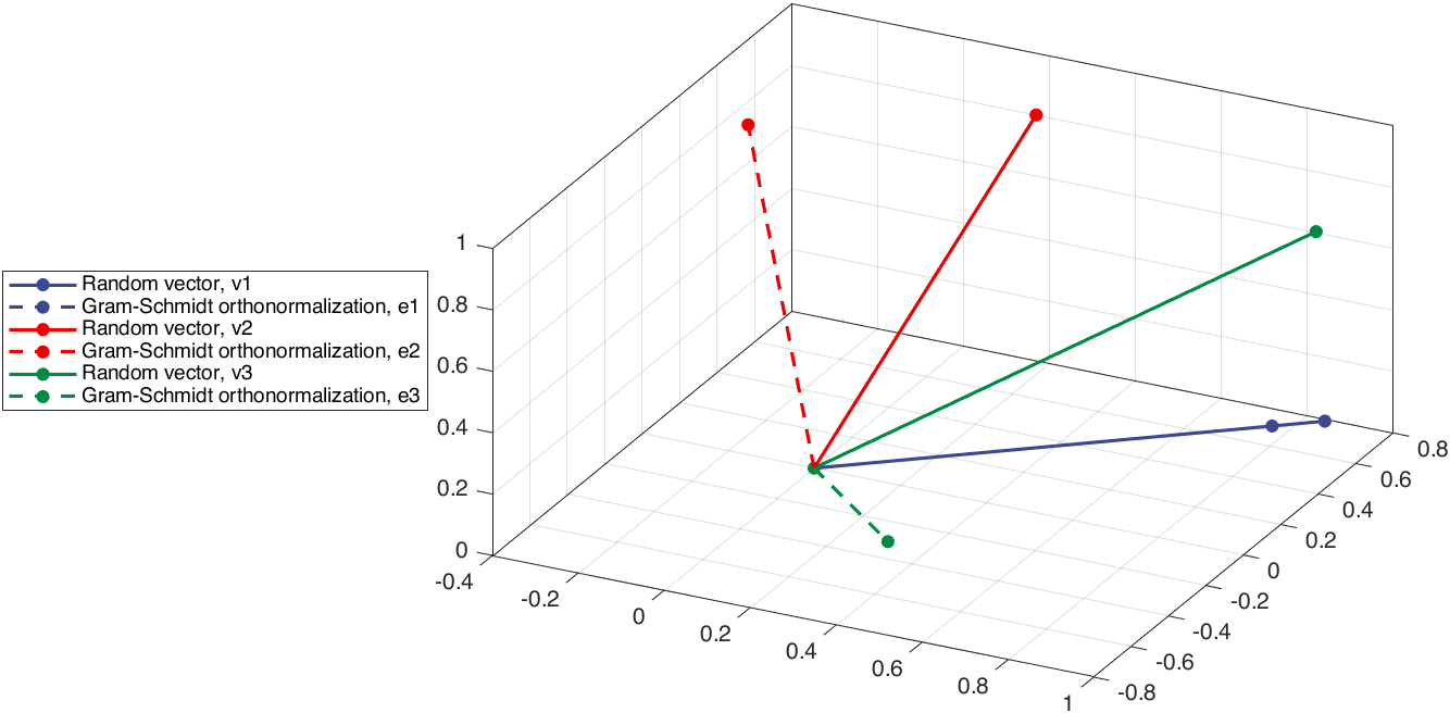
If $k$, the number of given vector set \(S=\{\boldsymbol{v}_1,\cdots,\boldsymbol{v}_k\}\), is equal to the dimension of vector space $\mathbb{R}^n$, i.e., $k=n$, Gram-Schmidt process will find a complete orthonormal basis set. For example, for a random vector set \(S=\{\boldsymbol{v}_1,\boldsymbol{v}_2,\boldsymbol{v}_3\}\in\mathbb{R}^3\):
1
2
3
4
5
6
7
8
9
10
11
12
13
14
15
16
17
18
19
20
21
22
23
24
25
26
27
28
29
30
31
32
33
34
35
36
37
38
39
40
41
42
43
44
45
46
47
48
49
50
clc,clear,close all
rng("default")
n = 3;
k = 3;
A = rand(n,k);
U = gramschmidt(A);
idxCombinations = nchoosek(1:k,2);
for i = 1:height(idxCombinations)
idx = idxCombinations(i,:);
fprintf("<e%s,e%s>: %.4f\n", ...
num2str(idx(1)),num2str(idx(2)),dot(U(:,idx(1)),U(:,idx(2))));
end
figure("Position",[817.67,580.33,973.33,486.67])
hold(gca,"on"),grid(gca,"on"),box(gca,"on")
view(26.499999959417345,41.611284029194252)
markerSize = 20;
colors = [
0.2314,0.2863,0.5725;
0.9333,0,0;
0,0.5451,0.2706;
0.3882,0.0941,0.4745;
0,0.5098,0.5020];
for i = 1:width(U)
p1 = plot3([0,A(1,i)],[0,A(2,i)],[0,A(3,i)], ...
"LineWidth",1.5,"Color",colors(i,:),"Marker",".","MarkerSize",markerSize, ...
"DisplayName",sprintf("Random vector, v%s",num2str(i)));
p2 = plot3([0,U(1,i)],[0,U(2,i)],[0,U(3,i)], ...
"LineWidth",1.5,"Color",colors(i,:),"Marker",".","MarkerSize",markerSize, ...
"DisplayName",sprintf("Gram-Schmidt orthonormalization, e%s",num2str(i)), ...
"LineStyle","--");
end
legend("Location","westoutside")
function U = gramschmidt(V)
[n,k] = size(V);
U = zeros(n,k);
U(:,1) = V(:,1)/norm(V(:,1));
for i = 2:k
U(:,i) = V(:,i);
for j = 1:i-1
U(:,i) = U(:,i)-(U(:,j)'*U(:,i))*U(:,j);
end
U(:,i) = U(:,i)/norm(U(:,i));
end
end
1
2
3
4
U =
0.6651 0.7463 -0.0256
0.7395 -0.6631 -0.1162
0.1037 -0.0583 0.9929
The \(S=\{\boldsymbol{v}_1,\boldsymbol{v}_2,\boldsymbol{v}_3\}\) and \(S'=\{\boldsymbol{e}_1,\boldsymbol{e}_2,\boldsymbol{e}_3\}\) shows as follows:

It shows the orthonormal relation between $\boldsymbol{e}_1$, $\boldsymbol{e}_2$, and $\boldsymbol{e}_3$, and we could verify this point from the perspective of the results of dot product:
1
2
3
<e1,e2>: -0.0000
<e1,e3>: -0.0000
<e2,e3>: 0.0000
Case $n>k$
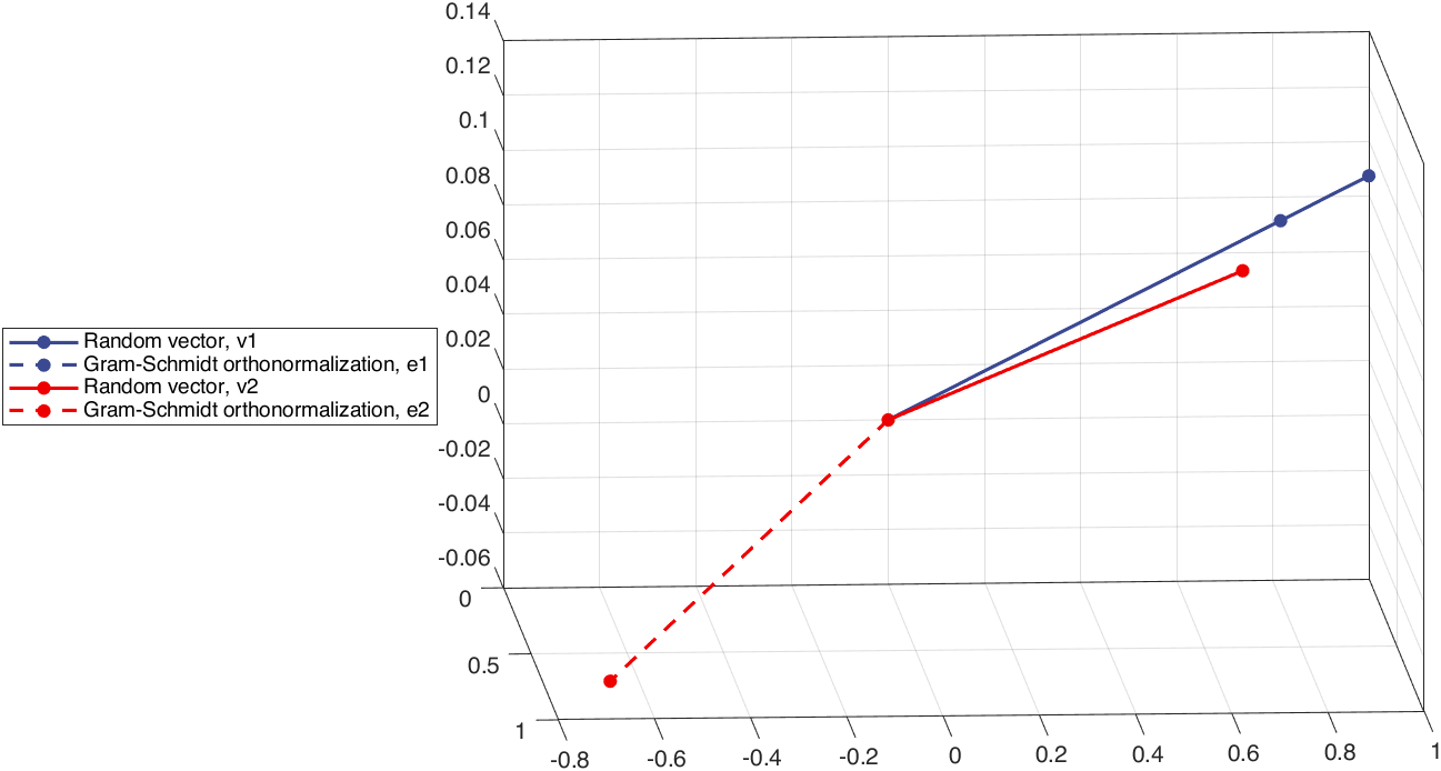
If $n>k$, Gram-Schmidt process will find an incomplete orthonormal basis set in the subspace of $\mathbb{R}^n$ where \(\boldsymbol{v}_1,\cdots, \boldsymbol{v}_k\) span. For example, for $n=3$ and $k=2$:
1
2
3
4
5
6
7
rng("default")
n = 3;
k = 2;
A = rand(n,k);
U = gramschmidt(A);
...
1
2
3
4
U =
0.6651 0.7463
0.7395 -0.6631
0.1037 -0.0583

1
<e1,e2>: -0.0000
Case $n<k$
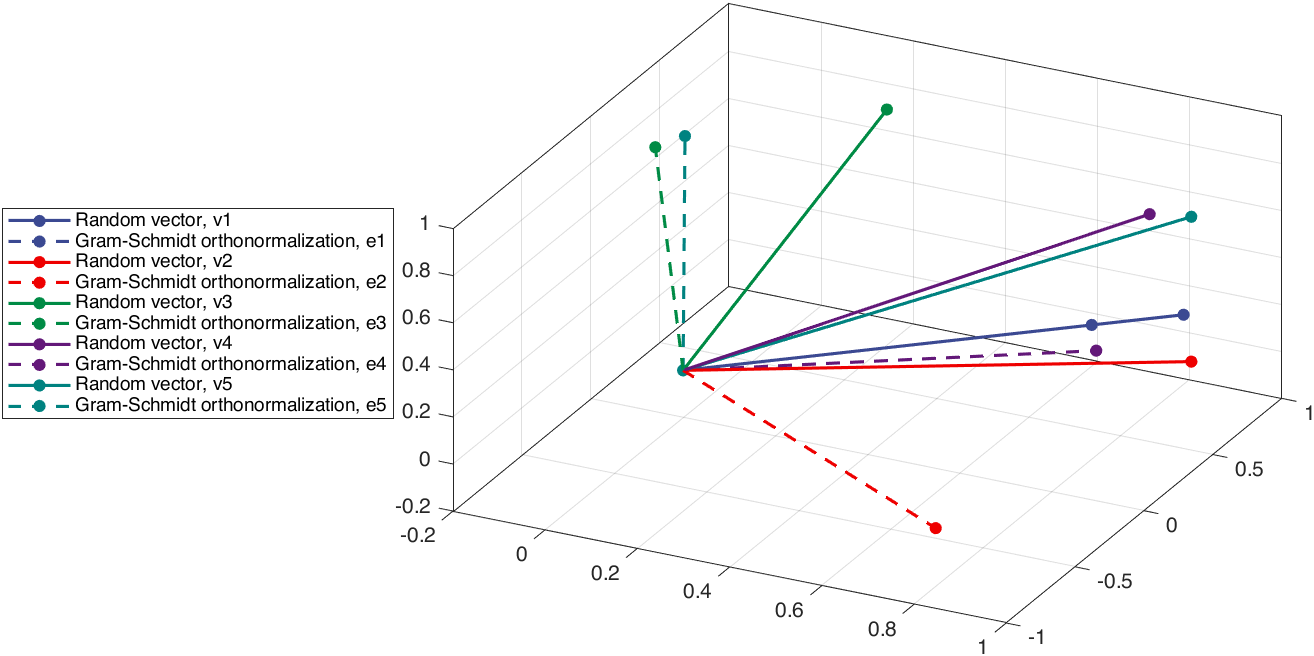
At the case of $n>k$, Gram-Schmidt process will find a complete orthonormal basis set in $\mathbb{R}^n$, and besides that, $k-n$ redundant vectors will be generated as well. For example, for $n=3$ and $k=5$:
1
2
3
4
5
6
7
rng("default")
n = 3;
k = 5;
A = rand(n,k);
U = gramschmidt(A);
...
1
2
3
4
U =
0.6651 0.7463 -0.0256 0.6757 0.0057
0.7395 -0.6631 -0.1162 0.7372 -0.0052
0.1037 -0.0583 0.9929 0 1.0000

We could find that, \(S'=\{\boldsymbol{e}_1,\boldsymbol{e}_2,\boldsymbol{e}_3\}\) is actually the complete orthonormal basis set what we want to get, and $\boldsymbol{e}_4$ and $\boldsymbol{e}_5$ are redundant:
1
2
3
4
5
6
7
8
9
10
<e1,e2>: -0.0000
<e1,e3>: -0.0000
<e1,e4>: 0.9946
<e1,e5>: 0.1036
<e2,e3>: 0.0000
<e2,e4>: 0.0155
<e2,e5>: -0.0507
<e3,e4>: -0.1029
<e3,e5>: 0.9933
<e4,e5>: 0.0000
Actually, Fig. 1 shows the results of Gram-Schmidt process for ONLY three vectors of \(S=\{\boldsymbol{v}_1,\boldsymbol{v}_2,\boldsymbol{v}_3\}\). We could verity this point:
1
2
3
4
5
6
7
8
9
rng("default")
n = 3;
k = 5;
A = rand(n,k);
k = 3;
A = A(:,1:k);
U = gramschmidt(A);
...
1
2
3
4
U =
0.6651 0.7463 -0.0256
0.7395 -0.6631 -0.1162
0.1037 -0.0583 0.9929

If we choose another three vectors, like \(S=\{\boldsymbol{v}_2,\boldsymbol{v}_3,\boldsymbol{v}_5\}\), Gram-Schmidt process will give another $S’$:
1
2
3
4
5
6
7
8
9
rng("default")
n = 3;
k = 5;
A = rand(n,k);
A = A(:,[2,3,5]);
k = 3;
U = gramschmidt(A);
...
1
2
3
4
U =
0.8190 -0.2425 0.5200
0.5670 0.2040 -0.7980
0.0875 0.9485 0.3046

References