LaTeX align, alignat, and flalign Environments
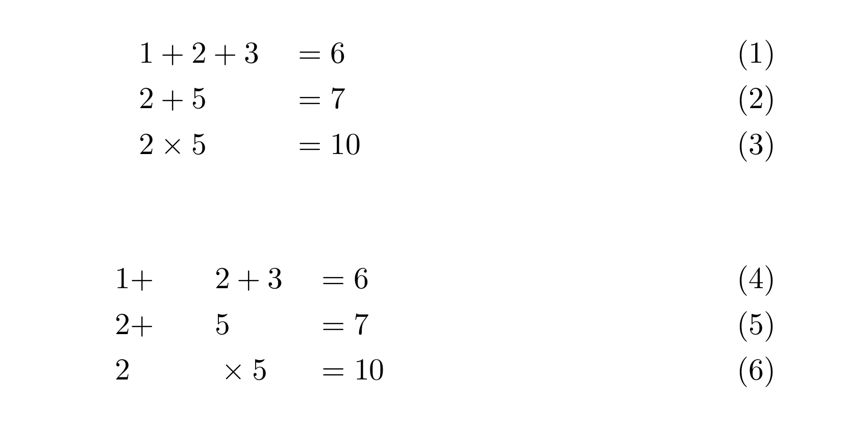
In LaTeX, we can use the align environment to align multiple equations at a certain position. However, if we want to align equations at two or more positions by parts, the resulting effects are not as we expected:
1
2
3
4
5
6
7
8
9
10
11
12
13
14
15
16
17
18
19
20
21
22
23
24
\documentclass{article}
\usepackage{amsmath}
\begin{document}
\begin{align}
&1+2+3=6\\
&2+5=7\\
&2\times5=10
\end{align}
\begin{align}
&1+2+3 &=6\\
&2+5 &=7\\
&2\times5 &=10
\end{align}
\begin{align}
&1+ &2+3 &=6\\
&2+ &5 &=7\\
&2 &\times5 &=10
\end{align}
\end{document}

One reason is that we should use a pair of &, i.e., a left & and a right &, to create a column (except for the last column), and the aligned position is the beginning of each column. For example:
1
2
3
4
5
6
7
8
9
10
11
12
13
14
15
16
17
18
\documentclass{article}
\usepackage{amsmath}
\begin{document}
\begin{align}
&1+2+3 & &=6\\
&2+5 & &=7\\
&2\times5 & &=10
\end{align}
\begin{align}
&1+ & &2+3 & &=6\\
&2+ & &5 & &=7\\
&2 & &\times5 & &=10
\end{align}
\end{document}

For example, in the second case, the first column is &1+ &, the second is &2+3 &, and the third is &=6. Anyway, the use of symbol & is kind of different from that in the matrix environment or the array environment etc.
As can be seen, things become better but there are also some blank space whose width seems not controllable. To solve this problem, we can use the alignat environment instead of align environment:
1
2
3
4
5
6
7
8
9
10
11
12
13
14
15
16
17
18
\documentclass{article}
\usepackage{amsmath}
\begin{document}
\begin{alignat}{2}
&1+2+3 & &=6\\
&2+5 & &=7\\
&2\times5 & &=10
\end{alignat}
\begin{alignat}{3}
&1+ & &2+3 & &=6\\
&2+ & &5 & &=7\\
&2 & &\times5 & &=10
\end{alignat}
\end{document}

Note that, an argument of the alignat environment specifies the number of columns, like {2} and {3} in above examples.
Besides, at this time we can use some commands like \quad, \quad, or \hspace to add some blank space manually1:
1
2
3
4
5
6
7
8
9
10
11
12
13
14
15
16
17
18
\documentclass{article}
\usepackage{amsmath}
\begin{document}
\begin{alignat}{2}
&1+2+3 \quad & &=6\\
&2+5 \quad & &=7\\
&2\times5 \quad & &=10
\end{alignat}
\begin{alignat}{3}
&1+ \hspace{2em} & &2+3 \hspace{1em} & &=6\\
&2+ \hspace{2em} & &5 \hspace{1em} & &=7\\
&2 \hspace{2em} & &\times5 \hspace{1em} & &=10
\end{alignat}
\end{document}

In addition, the flalign environment is useful from time to time. It can add a flexible space between adjacent two columns to fill the whole \textwidth:
1
2
3
4
5
6
7
8
9
10
11
12
13
14
15
16
17
18
19
\documentclass{article}
\usepackage{amsmath}
\usepackage{showframe}
\begin{document}
\begin{flalign}
&1+2+3 & &=6\\
&2+5 & &=7\\
&2\times5 & &=10
\end{flalign}
\begin{flalign}
&1+ & &2+3 & &=6\\
&2+ & &5 & &=7\\
&2 & &\times5 & &=10
\end{flalign}
\end{document}

And it is certainly available when there are more columns:
1
2
3
4
5
6
7
8
9
10
11
12
\documentclass{article}
\usepackage{amsmath}
\usepackage{showframe}
\begin{document}
\begin{flalign}
x &= t & & xxx & & xxx & & xxx & & x = 2 \\
y &= 2t & & xxx & & xxx & & xxx & & y = 4
\end{flalign}
\end{document}

References
- LaTeX入门, 刘海洋编著, pp. 265-266.